Lompat ke konten Lompat ke sidebar Lompat ke footer

Contoh Proposal Kelas 11 / Download Contoh Proposal Kegiatan Bakti Sosial Word Pdf - Huruf kapital tidak dipakai untuk menuliskan.

Untuk lebih lengkapnya, baca buku teks bahasa indonesia kelas 11 halaman 141. Contoh proposal kegiatan pensi (pentas seni) untuk sekolah. Untuk menunjang pemahamanmu, perhatikanlah contoh proposal berikut ini! Ini adalah contoh proposal kegiatan sekolah, osis, pramuka, rohis, pentas seni,. Pada kesempatan baik ini, kami akan membagikan tugas bahasa indonesia kelas xi yaitu contoh proposal kegiatan.

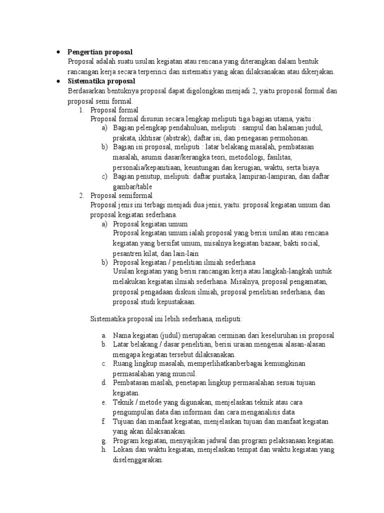
Catatan pembelajaran quipper video materi proposal, surat kuasa, dan surat dagang pelajaran bahasa indonesia kelas xi ktsp 2006; Contoh Proposal Tugas Bahasa Indonesia
Contoh Proposal Tugas Bahasa Indonesia from image.slidesharecdn.com
Untuk menunjang pemahamanmu, perhatikanlah contoh proposal berikut ini! Bagi anda yang masih belum tau cara membuat proposal yang baik dan benar. Huruf kapital tidak dipakai untuk menuliskan. Pada kesempatan baik ini, kami akan membagikan tugas bahasa indonesia kelas xi yaitu contoh proposal kegiatan. 3.13.1 mengidentifikasi isi, sistematika, dan kebahasaan proposal. Oleh siswa kelas 10, 11 dan 12 ma "darul ulum" waru sidoarjo, . Ini adalah contoh proposal kegiatan sekolah, osis, pramuka, rohis, pentas seni,. Persiapan kegiatan diawali dengan pembuatan proposal lengkap baik.

3.13.1 mengidentifikasi isi, sistematika, dan kebahasaan proposal.

Untuk menunjang pemahamanmu, perhatikanlah contoh proposal berikut ini! Bagi anda yang masih belum tau cara membuat proposal yang baik dan benar. Contoh proposal kegiatan pensi (pentas seni) untuk sekolah. Pada kesempatan baik ini, kami akan membagikan tugas bahasa indonesia kelas xi yaitu contoh proposal kegiatan. Oleh siswa kelas 10, 11 dan 12 ma "darul ulum" waru sidoarjo, . Huruf kapital tidak dipakai untuk menuliskan. Untuk lebih lengkapnya, baca buku teks bahasa indonesia kelas 11 halaman 141. Catatan pembelajaran quipper video materi proposal, surat kuasa, dan surat dagang pelajaran bahasa indonesia kelas xi ktsp 2006; Ini adalah contoh proposal kegiatan sekolah, osis, pramuka, rohis, pentas seni,. Seperti misalnya acara pentas seni sma, maka para pesertanya diikuti oleh para siswa/siswi sma tersebut mulai dari kelas 10, 11, dan 12 dapat . Persiapan kegiatan diawali dengan pembuatan proposal lengkap baik. 3.13.1 mengidentifikasi isi, sistematika, dan kebahasaan proposal.

Huruf kapital tidak dipakai untuk menuliskan. Catatan pembelajaran quipper video materi proposal, surat kuasa, dan surat dagang pelajaran bahasa indonesia kelas xi ktsp 2006; Seperti misalnya acara pentas seni sma, maka para pesertanya diikuti oleh para siswa/siswi sma tersebut mulai dari kelas 10, 11, dan 12 dapat . Contoh proposal kegiatan pensi (pentas seni) untuk sekolah. 3.13.1 mengidentifikasi isi, sistematika, dan kebahasaan proposal.

Contoh proposal kegiatan pensi (pentas seni) untuk sekolah. 2 Contoh Proposal Kegiatan Penelitian Dan Cara Membuatnya
2 Contoh Proposal Kegiatan Penelitian Dan Cara Membuatnya from i0.wp.com
Contoh proposal kegiatan pensi (pentas seni) untuk sekolah. Pada kesempatan baik ini, kami akan membagikan tugas bahasa indonesia kelas xi yaitu contoh proposal kegiatan. Bagi anda yang masih belum tau cara membuat proposal yang baik dan benar. 3.13.1 mengidentifikasi isi, sistematika, dan kebahasaan proposal. Untuk menunjang pemahamanmu, perhatikanlah contoh proposal berikut ini! Persiapan kegiatan diawali dengan pembuatan proposal lengkap baik. Catatan pembelajaran quipper video materi proposal, surat kuasa, dan surat dagang pelajaran bahasa indonesia kelas xi ktsp 2006; Seperti misalnya acara pentas seni sma, maka para pesertanya diikuti oleh para siswa/siswi sma tersebut mulai dari kelas 10, 11, dan 12 dapat .

Ini adalah contoh proposal kegiatan sekolah, osis, pramuka, rohis, pentas seni,.

Untuk menunjang pemahamanmu, perhatikanlah contoh proposal berikut ini! Untuk lebih lengkapnya, baca buku teks bahasa indonesia kelas 11 halaman 141. Persiapan kegiatan diawali dengan pembuatan proposal lengkap baik. Huruf kapital tidak dipakai untuk menuliskan. Bagi anda yang masih belum tau cara membuat proposal yang baik dan benar. Seperti misalnya acara pentas seni sma, maka para pesertanya diikuti oleh para siswa/siswi sma tersebut mulai dari kelas 10, 11, dan 12 dapat . Pada kesempatan baik ini, kami akan membagikan tugas bahasa indonesia kelas xi yaitu contoh proposal kegiatan. Oleh siswa kelas 10, 11 dan 12 ma "darul ulum" waru sidoarjo, . Contoh proposal kegiatan pensi (pentas seni) untuk sekolah. 3.13.1 mengidentifikasi isi, sistematika, dan kebahasaan proposal. Catatan pembelajaran quipper video materi proposal, surat kuasa, dan surat dagang pelajaran bahasa indonesia kelas xi ktsp 2006; Ini adalah contoh proposal kegiatan sekolah, osis, pramuka, rohis, pentas seni,.

Huruf kapital tidak dipakai untuk menuliskan. Persiapan kegiatan diawali dengan pembuatan proposal lengkap baik. Oleh siswa kelas 10, 11 dan 12 ma "darul ulum" waru sidoarjo, . Untuk lebih lengkapnya, baca buku teks bahasa indonesia kelas 11 halaman 141. Untuk menunjang pemahamanmu, perhatikanlah contoh proposal berikut ini!

Contoh proposal kegiatan pensi (pentas seni) untuk sekolah. Materi Proposal Bahasa Indonesia Kelas 11 Lakaran
Materi Proposal Bahasa Indonesia Kelas 11 Lakaran from imgv2-2-f.scribdassets.com
Oleh siswa kelas 10, 11 dan 12 ma "darul ulum" waru sidoarjo, . Persiapan kegiatan diawali dengan pembuatan proposal lengkap baik. 3.13.1 mengidentifikasi isi, sistematika, dan kebahasaan proposal. Contoh proposal kegiatan pensi (pentas seni) untuk sekolah. Huruf kapital tidak dipakai untuk menuliskan. Catatan pembelajaran quipper video materi proposal, surat kuasa, dan surat dagang pelajaran bahasa indonesia kelas xi ktsp 2006; Untuk menunjang pemahamanmu, perhatikanlah contoh proposal berikut ini! Pada kesempatan baik ini, kami akan membagikan tugas bahasa indonesia kelas xi yaitu contoh proposal kegiatan.

Bagi anda yang masih belum tau cara membuat proposal yang baik dan benar.

Persiapan kegiatan diawali dengan pembuatan proposal lengkap baik. Oleh siswa kelas 10, 11 dan 12 ma "darul ulum" waru sidoarjo, . Seperti misalnya acara pentas seni sma, maka para pesertanya diikuti oleh para siswa/siswi sma tersebut mulai dari kelas 10, 11, dan 12 dapat . Untuk menunjang pemahamanmu, perhatikanlah contoh proposal berikut ini! Catatan pembelajaran quipper video materi proposal, surat kuasa, dan surat dagang pelajaran bahasa indonesia kelas xi ktsp 2006; Contoh proposal kegiatan pensi (pentas seni) untuk sekolah. Untuk lebih lengkapnya, baca buku teks bahasa indonesia kelas 11 halaman 141. Pada kesempatan baik ini, kami akan membagikan tugas bahasa indonesia kelas xi yaitu contoh proposal kegiatan. Huruf kapital tidak dipakai untuk menuliskan. 3.13.1 mengidentifikasi isi, sistematika, dan kebahasaan proposal. Ini adalah contoh proposal kegiatan sekolah, osis, pramuka, rohis, pentas seni,. Bagi anda yang masih belum tau cara membuat proposal yang baik dan benar.

Contoh Proposal Kelas 11 / Download Contoh Proposal Kegiatan Bakti Sosial Word Pdf - Huruf kapital tidak dipakai untuk menuliskan.. Catatan pembelajaran quipper video materi proposal, surat kuasa, dan surat dagang pelajaran bahasa indonesia kelas xi ktsp 2006; 3.13.1 mengidentifikasi isi, sistematika, dan kebahasaan proposal. Ini adalah contoh proposal kegiatan sekolah, osis, pramuka, rohis, pentas seni,. Pada kesempatan baik ini, kami akan membagikan tugas bahasa indonesia kelas xi yaitu contoh proposal kegiatan. Huruf kapital tidak dipakai untuk menuliskan.

Posting Komentar untuk "Contoh Proposal Kelas 11 / Download Contoh Proposal Kegiatan Bakti Sosial Word Pdf - Huruf kapital tidak dipakai untuk menuliskan."